泊洛沙姆 Pluronic PEO-PPO-PEO 聚乙二醇-聚丙二醇-聚乙二醇 双羟基封端 ABA三嵌段共聚物 Poloxamer
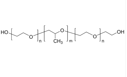
泊洛沙姆 Pluronic PEO-PPO-PEO 聚乙二醇-聚丙二醇-聚乙二醇 双羟基封端 ABA三嵌段共聚物 Poloxamer 英文版名称大全:泊洛沙姆英文版全称:PEO-PPO-PEO | PEG-PPG-PEG日文英文名称:Poly(ethylene oxide)-b-poly(propylene oxide)-b-poly(ethylene oxide), α,ω-bis(hydroxy)-terminated国外英文学名:Poly(ethylene glycol)-b-poly(propylene glycol)-b-poly(ethylene glycol)CAS号:9003-11-6氧化学结构式:[C2H4O]n [C3H6O]m [C2H4O]n主链设计:ABA三嵌段共聚物具体化学物质:PEO-PPO-PEO亲疏丙烯酸乳液:两亲性產不断研发创新型:链端羟基得大分子荧光/带光:无外在/姿态:固定粉状或颗料(以实际上外在时以)纯净度:≤ 100%架构式:



pg电子娱乐游戏app
微信公众号
官方微信