PS-PtBuA/PtBuA 聚苯乙烯-聚丙烯酸叔丁酯/聚丙烯酸叔丁酯 多臂星形混合嵌段共聚物
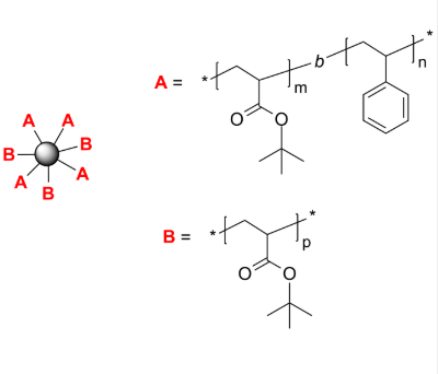
PS-PtBuA/PtBuA 聚苯丁二烯-聚丙烯酸酯酯叔丁酯/聚丙烯酸酯酯叔丁酯 多臂星形相混嵌段共聚物 汉语英文名称:聚苯乙稀-聚亚克力 叔丁酯/聚亚克力 叔丁酯日语也叫:PS-PtBuA/PtBuA mixed star日语全名是:Poly(styrene)-b-poly(tert-butyl acrylate) / Poly(tert-butyl acrylate), mixed block star因为俗名:PS / PtBuA star polymerCAS号:n/a; PtBuA: 25232-27-3; PS: 9003-53-6氧分子结构:[C8H8]p[C7H12O2]m主链构造:多臂星形嵌段重点材质:PtBuA亲疏丙烯酸乳液:疏水服务结构类型:标准提分子结构荧光/发亮:无外型/特征:固体粉化或粉末(以预期外型为界)色度:≤ 100%构造式:



pg电子娱乐游戏app
微信公众号
官方微信