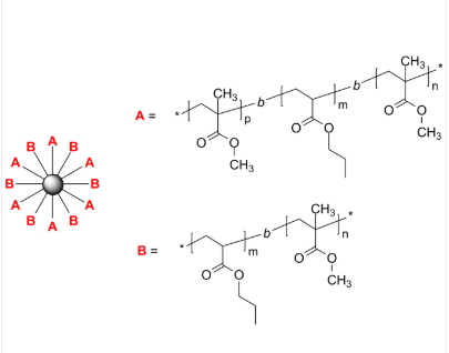
PMMA-PnBuA-PMMA/PnBuA-PMMA 聚甲基丙烯酸甲酯-聚丙烯酸正丁酯-聚甲基丙烯酸甲酯/聚丙烯酸正丁酯-聚甲基丙烯酸甲酯 多臂星形混合嵌段共聚物
PMMA-PnBuA-PMMA/PnBuA-PMMA 聚甲基丙稀酸甲酯-聚丙稀酸正丁酯-聚甲基丙稀酸甲酯/聚丙稀酸正丁酯-聚甲基丙稀酸甲酯 多臂星形混合法嵌段共聚物 简体中文种类:聚甲基亚克力甲酯-聚亚克力正丁酯-聚甲基亚克力甲酯/聚亚克力正丁酯-聚甲基亚克力甲酯英文翻译缩略词:PMMA-PnBuA-PMMA/PnBuA-PMMA mixed star用英文怎么说称怎么读:Poly(methyl methacrylate)-b-poly(n-butyl acrylate)-b-poly(methyl methacrylate) / Poly(n-butyl acrylate)-b-poly(methyl methacrylate), mixed block star日语学名:Poly(MMA/nBuA) star polymerCAS号:n/a; PnBuA: 9003-49-0; PMMA: 9011-14-7团伙式:[C5H8O2]n[C7H12O2]m主链节构:多臂星形嵌段一般因素:PMMA亲疏水性树脂:疏水的产类目型:平时拿高团伙荧光/会发光:无外形/形状:固态硬盘安装粉末或粉末(以真正外形为基准)饱和度:≤ 100%成分式:



pg电子娱乐游戏app
微信公众号
官方微信