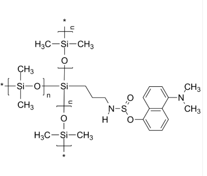
3-Arm PDMS 3臂星形-聚二甲基硅氧烷 丹酰荧光标记 Poly(dimethylsiloxane), 3-arm star / Core: Si
3-Arm PDMS 3臂星形-聚二甲基硅氧烷 丹酰荧光记号 Poly(dimethylsiloxane), 3-arm star / Core: Si 英文版简称:3臂星形-聚二甲基硅氧烷 丹酰荧光标记图片日文缩写:3-Arm PDMS用英文怎么说总称:Poly(dimethylsiloxane), 3-arm star / Core: Si, functionalized with dansyl amide英文字母学名:DimethylpolysiloxaneCAS号:n/a; PDMS: 9016-00-6/70131-67-8/63148-62-9碳原子式:[Si(CH3)2O]n主链的结构:多臂星形重要含量:PDMS亲疏水性聚氨酯:疏水成种种类:荧光标签100大分子荧光/发光字:Dansyl外部/形状:nvme固态粉丝或粒状(以现实情况外部算起)含量:≤ 100%结构设计式:



pg电子娱乐游戏app
微信公众号
官方微信