2-Arm PDMS 2臂星形-聚二甲基硅氧烷 丹酰荧光标记 Poly(dimethylsiloxane), 2-arm star / Core: Si
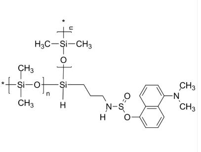
2-Arm PDMS 2臂星形-聚二甲基硅氧烷 丹酰荧光标识 Poly(dimethylsiloxane), 2-arm star / Core: Si 中文翻译公司名称:2臂星形-聚二甲基硅氧烷 丹酰荧光标记符号用英语简称为:2-Arm PDMS英语中文名称:Poly(dimethylsiloxane), 2-arm star / Core: Si, functionalized with dansyl amide英文翻译別称:DimethylpolysiloxaneCAS号:n/a; PDMS: 9016-00-6/70131-67-8/63148-62-9原子式:[Si(CH3)2O]n主链设备构造:多臂星形主要的部分:PDMS亲疏水:疏水商分多种类型:荧光记号夺原子荧光/放光:Dansyl外形设计/形状:固态硬盘安装粉丝或颗粒物(以事实外形设计算起)色度:≤ 100%架构式:



pg电子娱乐游戏app
微信公众号
官方微信