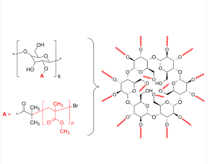
16-Arm PMMA 16臂星形-聚甲基丙烯酸甲酯 Poly(methyl methacrylate), 16-arm star polymer / Core: α-Cyclodextrin
16-Arm PMMA 16臂星形-聚甲基亚克力甲酯 Poly(methyl methacrylate), 16-arm star polymer / Core: α-Cyclodextrin 中文字幕名号:16臂星形-聚甲基丙烯酸酯甲酯英文字母简称英文:16-Arm PMMA英文翻译简称:Poly(methyl methacrylate), 16-arm star polymer / Core: α-Cyclodextrin日文学名:Poly(methyl methacrylate) star polymer with α-cyclodextrin coreCAS号:n/a; PMMA: 9011-14-7; α-Cyclodextrin: 10016-20-3团伙式:(C5H8O2)n主链设备构造:多臂星形核心成份:PMMA亲疏水:疏水服务结构类型:端基性能化表达最高碳原子荧光/闪光:无外表/特性:固态硬盘安装粉化或粉末(以实践外表为标准)饱和度:≤ 100%结构的式:



pg电子娱乐游戏app
微信公众号
官方微信