6-Arm PMMA 6臂星形-聚甲基丙烯酸甲酯 Poly(methyl methacrylate), 6-arm star polymer / Core: α-Cyclodextrin
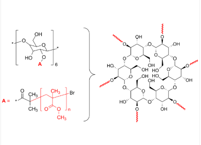
6-Arm PMMA 6臂星形-聚甲基丙烯酸酯甲酯 Poly(methyl methacrylate), 6-arm star polymer / Core: α-Cyclodextrin 中文字幕英文名称:6臂星形-聚甲基水性聚氨酯甲酯英文音标简称为:6-Arm PMMA英文字母中文名称:Poly(methyl methacrylate), 6-arm star polymer / Core: α-Cyclodextrin英文版又名:Poly(methyl methacrylate) star polymer with α-cyclodextrin coreCAS号:n/a; PMMA: 9011-14-7; α-Cyclodextrin: 10016-20-3原子式:(C5H8O2)n主链架构:多臂星形核心材料:PMMA亲疏水:疏水物料类形:端基特点化体现高分数子荧光/放光:无看/行态:固态硬盘粉末状原材料或粒状(以现实看起算)含量:≤ 100%机构式:



pg电子娱乐游戏app
微信公众号
官方微信