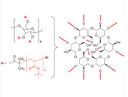
13-Arm PtBuA 13臂星形-聚丙烯酸叔丁酯 Poly(tert-butyl acrylate), 13-arm star polymer / Core: α-Cyclodextrin
13-Arm PtBuA 13臂星形-聚亚克力叔丁酯 Poly(tert-butyl acrylate), 13-arm star polymer / Core: α-Cyclodextrin 常常公司名称:13臂星形-聚水性聚氨酯叔丁酯英语翻译英文缩写:13-Arm PtBuA英文音标英文名称:Poly(tert-butyl acrylate), 13-arm star polymer / Core: α-Cyclodextrin用英语别称:Poly(tert-butyl acrylate) with α-cyclodextrin coreCAS号:n/a; PtBuA: 25232-27-3; alpha-Cyclodextrin: 10016-20-3大化学式:(C7H12O2)n主链结构设计:多臂星形首要因素:PtBuA亲疏水性聚氨酯:疏水服务业务类型:端基功能表化装饰拿高氧分子荧光/会亮:无金属机身/性状:nvme固态粉丝或顆粒(以现实金属机身为标准)含量:≤ 100%结构设计式:



pg电子娱乐游戏app
微信公众号
官方微信