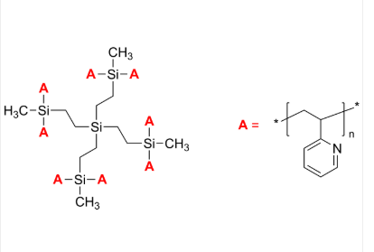
8-Arm P2VP 8臂星形-聚(2-乙烯基吡啶) Poly(2-vinyl pyridine), 8-arm star polymer / Core: tetrakis(2-silylethyl)
8-Arm P2VP 8臂星形-聚(2-丁二烯基吡啶) Poly(2-vinyl pyridine), 8-arm star polymer / Core: tetrakis(2-silylethyl) 常常分类:8臂星形-聚(2-丁二烯基吡啶)英文音标简写:8-Arm P2VP英文翻译被称为:Poly(2-vinyl pyridine), 8-arm star polymer / Core: tetrakis(2-silylethyl)silane英语怎么说別称:Poly(2-vinylpyridine) star polymer with tetrakis(2-silylethyl)silane coreCAS号:n/a; P2VP: 25014-15-7原子式:[C7H7N]n主链型式:多臂星形其主要成分表:P2VP亲疏水:亲水企业产种内型:常規好的成绩子荧光/发光字:无油漆颜色设计/型态:固态硬盘安装粒子或粒子(以现实油漆颜色设计时以)溶解度:≤ 100%节构式:



pg电子娱乐游戏app
微信公众号
官方微信