4-Arm PEO-PPO/PEG-PPG 4臂星形-聚乙二醇-聚丙二醇 4臂星形-聚氧乙烯-聚氧丙烯 星形两亲性二嵌段共聚物
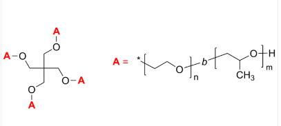
4-Arm PEO-PPO/PEG-PPG 4臂星形-聚乙二醇-聚丙二醇 4臂星形-聚氧氯乙烯-聚氧丙烯 星形两亲性二嵌段共聚物 常常名称大全:4臂星形-聚乙二醇-聚丙二醇 / 4臂星形-聚氧氯乙烯-聚氧丙烯英文音标也叫:4-Arm PEO-PPO/PEG-PPO英文翻译简称:Poly(ethylene oxide)-b-poly(propylene oxide), 4-arm block star / Core: pentaerythritolCAS号:n/a; PEO: 25322-68-3; PPO: 25322-69-4大分子结构:C(CH2O)4-([C2H4O]n[C3H6O]mH)4主链空间结构:多臂星形嵌段通常部分:PEO-PPO亲疏丙烯酸乳液:两亲性产品的款式:链端羟基比较高的分数子荧光/闪光:无外在/行态:固态硬盘粉丝或粉末(以其实外在为界)饱和度:≤ 100%设计式:



pg电子娱乐游戏app
微信公众号
官方微信