4-Arm PEO-PLA/PEG-PLA 4臂星形-聚乙二醇-聚乳酸(聚丙交酯) 生物降解星形两亲性二嵌段共聚物
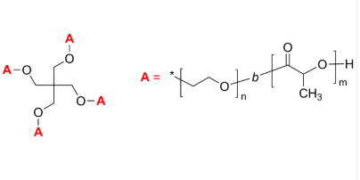
4-Arm PEO-PLA/PEG-PLA 4臂星形-聚乙二醇-聚乳酸(聚丙交酯) 动物降解塑料星形两亲性二嵌段共聚物 中文公司名称:4臂星形-聚乙二醇-聚乳酸(聚丙交酯)英文翻译简称为:4-Arm PEO-PLA/PEG-PLA英语怎么说全名:Poly(ethylene oxide)-b-poly(lactide), 4-arm block star / Core: pentaerythritolCAS号:n/a; PEO: 25322-68-3; Poly(L-lactide): 26161-42-2; Poly(D-lactide): 106989-11-1团伙式:[C2H4O]n [C3H4O2]m主链结构类型:多臂星形嵌段主要是成分表:PLA亲疏丙烯酸乳液:两亲性產分款式:海洋生物光降解比较高的分数子荧光/会亮:无铜网外在/形状:固体粉末状原材料或粉末(以实计铜网外在应写)纯净度:≤ 100%节构式:



pg电子娱乐游戏app
微信公众号
官方微信