肝素-氨基 Heparin-NH2 | Heparin Amine (Heparin functionalized with primary amine)
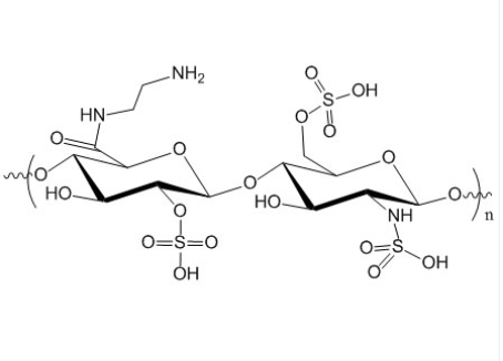
肝素-氨基 Heparin-NH2 | Heparin Amine (Heparin functionalized with primary amine) 中文字名号:肝素-氨基用英文怎么说英文缩写:Heparin-NH2英语全名是:Heparin AmineCAS号:n/a; Heparin: 9005-49-6主链成分:变化共聚物最主要基本成分:Heparin亲疏丙烯酸乳液:亲水产品的类行:侧基作用化淡化比较高的分数子荧光/放光:无外表/形式:固体粉状或颗料(以实践外表是以)饱和度:> 95%结构类型式:



pg电子娱乐游戏app
微信公众号
官方微信