肝素-生物素 Heparin-Biotin | Heparin Biotin (Biotin-labeled Heparin)
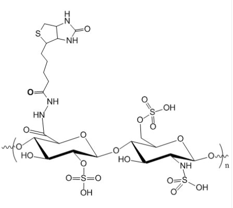
肝素-生物学素 Heparin-Biotin | Heparin Biotin (Biotin-labeled Heparin) 常常称呼:肝素-生物制品素日文代称:Heparin-Biotin英文翻译全名是:Heparin BiotinCAS号:n/a; Heparin: 9005-49-6主链型式:跳变共聚物重点有效成分:Heparin亲疏水性树脂:亲水类产种类行:Biotin标记图片低分子结构荧光/出现发亮:无外貌/形态特征:固体金属粉或粒状(以实际上的外貌来算)饱和度:> 95%构成式:



pg电子娱乐游戏app
微信公众号
官方微信