肝素-罗丹明 荧光标记 Heparin Rhodamine (Rhodamine-labeled Heparin)
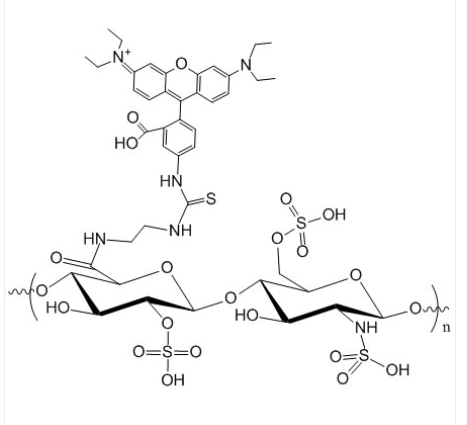
肝素-罗丹明 荧光标记符号 Heparin Rhodamine (Rhodamine-labeled Heparin) 汉语分类:肝素-罗丹明英语名字简称:Heparin-Rhodamine英文音标全程:Heparin RhodamineCAS号:n/a; Heparin: 9005-49-6主链空间结构:不间断共聚物其主要组成:Heparin亲疏水性聚氨酯:亲水食品种型:荧光符号得分子结构荧光/发光字:Rhodamine金属机身/特性:固定粉丝或粒子(以事实金属机身应写)饱和度:> 95%节构式:



pg电子娱乐游戏app
微信公众号
官方微信