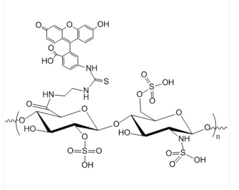
肝素-荧光素 荧光标记 Heparin-FITC | Heparin Fluorescein (FITC fluorescent dye labeled Heparin)
肝素-荧光素 荧光箭头 Heparin-FITC | Heparin Fluorescein (FITC fluorescent dye labeled Heparin) 常常品牌:肝素-荧光素国外英文名字简称:Heparin-FITC英语翻译简称:Heparin FluoresceinCAS号:n/a; Heparin: 9005-49-6主链设计:循环共聚物其主要含量:Heparin亲疏丙烯酸乳液:亲水设备业务类型:荧光箭头最聚合物式荧光/夜光:FITC结构设计式:



pg电子娱乐游戏app
微信公众号
官方微信