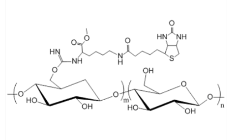
右旋糖酐-生物素 Dextran-Biotin | Biotin标记 Dextran Biotin (Biotin-labeled Dextran)
右旋糖酐-生物体素 Dextran-Biotin | Biotin标签 Dextran Biotin (Biotin-labeled Dextran) 简体中文字大全:右旋糖酐-生物技术素英语翻译缩写:Dextran-Biotin因为全稱:Dextran BiotinCAS号:n/a; Dextran: 9004-54-0主链结构类型:直链共聚物具体营养成分:Dextran亲疏水:亲水类产产品品种型:Biotin箭头得团伙荧光/带光:无外形/要素:固态硬盘安装碎末或颗粒状(以真正外形起算)饱和度:> 95%节构式:



pg电子娱乐游戏app
微信公众号
官方微信