生物素-硫酸软骨素-荧光素FITC 荧光标记 Biotin-Chondroitin Sulfate-Fluorescein(FITC)
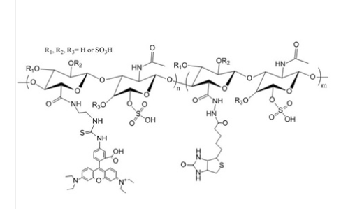
微生物素-氢氧化钾软骨素-荧光素FITC 荧光标出 Biotin-Chondroitin Sulfate-Fluorescein(FITC) 英文版品牌:生物工程素-硫酸钠软骨素-荧光素FITC英文字母英文缩写:Biotin-Chondroitin Sulfate-FITC英语翻译英文名称:Biotin-Chondroitin Sulfate-FluoresceinCAS号:n/a; Chondroitin Sulfate: 24967-93-9主链结构设计:更替共聚物具体化学物质:Chondroitin亲疏水溶性:亲水品牌型:荧光记号100原子荧光/闪光:FITC表面/型态:固态硬盘安装粉丝或粒子(以现实情况表面为界)含量:> 95%空间化学结构式:



pg电子娱乐游戏app
微信公众号
官方微信