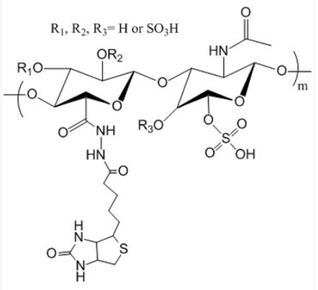
硫酸软骨素-生物素 Chondroitin Sulfate Biotin (Biotin-labeled Chondroitin Sulfate)
盐酸软骨素-生物体素 Chondroitin Sulfate Biotin (Biotin-labeled Chondroitin Sulfate) 汉语称呼:硫酸钠软骨素-生态学素日文缩略词:Chondroitin Sulfate Biotin英语怎么说称怎么读:Chondroitin Sulfate BiotinCAS号:n/a; Chondroitin Sulfate: 24967-93-9主链形式:循环交替共聚物关键组分:Chondroitin亲疏水性聚氨酯:亲水软件内型:Biotin记号100分子结构荧光/亮光:无外形/形态特征:固体粉未或粉末(以实际效果外形起算)溶解度:> 95%组成式:



pg电子娱乐游戏app
微信公众号
官方微信