硫酸软骨素 Chondroitin Sulfate 高纯度天然多糖
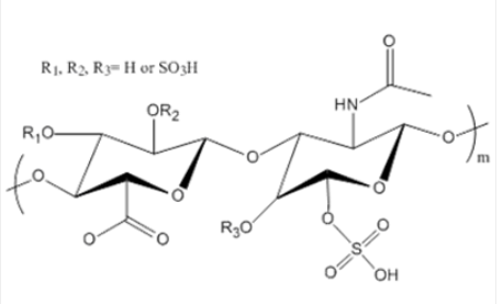
硫酸钠软骨素 Chondroitin Sulfate 高饱和度天然水多糖 英文版称谓:盐酸软骨素英文版缩略词:Chondroitin Sulfate英文字母简称:Chondroitin SulfateCAS号:24967-93-9主链结构特征:循环共聚物重要材质:Chondroitin亲疏水性树脂:亲水服务多种类型:生物学可降解低分子结构荧光/会发光:无铜网外貌/形态特征:固定粉尘或科粒(以现实铜网外貌应写)的结构简式:



pg电子娱乐游戏app
微信公众号
官方微信