纤维素-荧光素 荧光标记 Cellulose-FITC | Cellulose Fluorescein (Fluorescein-labeled Cellulose)
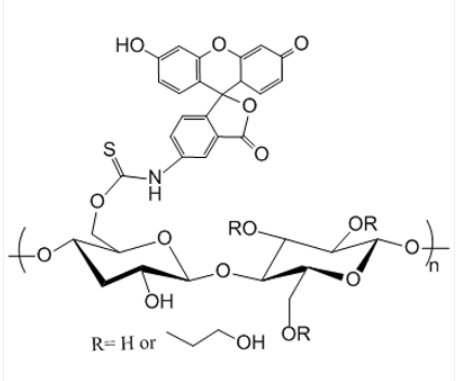
合成纤维-荧光素 荧光标记图片 Cellulose-FITC | Cellulose Fluorescein (Fluorescein-labeled Cellulose) 繁体中文分类:食物纤维-荧光素用英语简称英文:Cellulose-FITC用英文怎么说总称:Cellulose FluoresceinCAS号:n/a; Cellulose: 9004-34-6主链结构特征:更替共聚物最主要组分:Cellulose亲疏水性树脂:亲水產类目型:荧光标示涨原子荧光/放光:FITC外在/型态:固态硬盘安装金属粉或颗粒肥料(以具体外在应写)饱和度:> 95%形式式:



pg电子娱乐游戏app
微信公众号
官方微信