海藻酸-生物素 Biotin标记 Alginate Biotin (Biotin-labeled alginic acid)
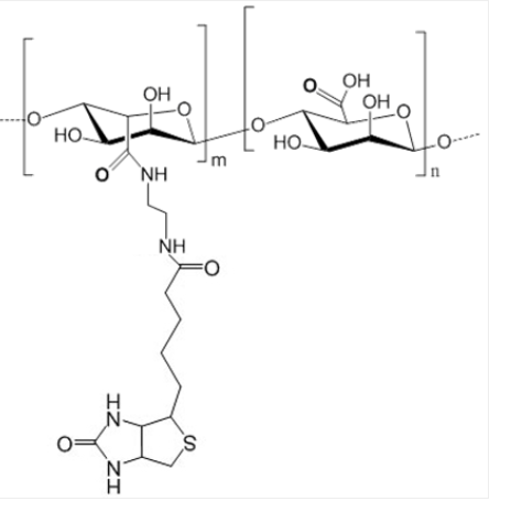
海苔酸-生物体素 Biotin标出 Alginate Biotin (Biotin-labeled alginic acid) 2英文称谓:海藻颗粒酸-菌物素用英文怎么说通称:AL-Biotin用英文怎么说全名:Alginate BiotinCAS号:n/a; Alginate: 9005-32-7主链构造:直链共聚物基本成份:Alginate亲疏水性聚氨酯:亲水的产商品型:Biotin标示蒙题子荧光/发光字广告:无看/形态特征:固定粉末状原材料或颗粒剂(以现实情况看起算)色度:> 95%机构式:



pg电子娱乐游戏app
微信公众号
官方微信