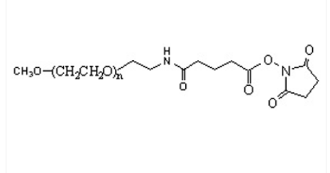
聚乙二醇-戊酰胺琥珀酰亚胺酯 mPEG-GAS (PEG NHS: Glutaramide Succinimidyl ester)
聚乙二醇-戊酰胺蜜腊酰亚胺酯 mPEG-GAS (PEG NHS: Glutaramide Succinimidyl ester) 中文版名称大全:聚乙二醇-戊酰胺蜜腊酰亚胺酯国外英文又称:mPEG-GAS用英语全稱:mPEG-GAS (PEG-NHS: Glutaramide Succinimidyl ester)CAS号:n/a; PEG: 25322-68-3主链设备构造:直链均聚物其主要基本成分:PEO/PEG亲疏水性聚氨酯:亲水新产产品品种型:端基技能化体现低氧分子荧光/放光:无看/特性:固态硬盘金属粉或顆粒(以实践看算起)组成式:



pg电子娱乐游戏app
微信公众号
官方微信