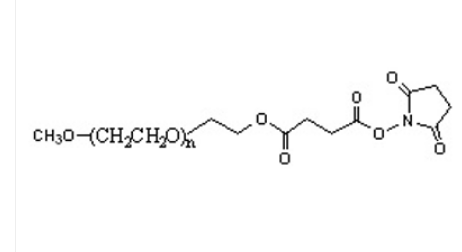
聚乙二醇-琥珀酰亚胺琥珀酸酯 mPEG-SS (PEG-NHS: Succinimidyl Succinate ester)
聚乙二醇-琥铂酰亚胺琥铂酸酯 mPEG-SS (PEG-NHS: Succinimidyl Succinate ester) 繁体中文标题:聚乙二醇-虎珀酰亚胺虎珀酸酯用英语全称:mPEG-SS英语翻译它的全称:mPEG-SS (PEG-NHS: Succinimidyl Succinate ester)CAS号:n/a; PEG: 25322-68-3主链格局:直链均聚物常见化学成分:PEO/PEG亲疏水性树脂:亲水品牌款式:端基系统化体现抓团伙荧光/带光:无颜色/行态:固体颗料或颗料(以事实颜色起算)设计式:



pg电子娱乐游戏app
微信公众号
官方微信