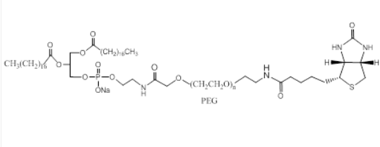
磷脂-聚乙二醇-生物素 自组装PEG脂质体 DSPE-PEG-Biotin (Biotin functionalized PEG Lipid)
磷脂-聚乙二醇-生物技术素 自装配PEG脂质体 DSPE-PEG-Biotin (Biotin functionalized PEG Lipid) 中文分类:磷脂-聚乙二醇-怪物素英语翻译全称:DSPE-PEG-Biotin日语它的全称:Biotin functionalized PEG LipidCAS号:n/a; PEG: 25322-68-3; DSPE: 1069-79-0主链架构:二嵌段共聚物核心的成分:PEO/PEG亲疏丙烯酸乳液:两亲性商产品品种型:自制做PEG繁衍物荧光/荧光:无外部/社会形态:固体颗料或颗料(以实践外部为标准)格局式:



pg电子娱乐游戏app
微信公众号
官方微信