聚乙二醇-DSPE磷脂 自组装PEG脂质体 mPEG-DSPE (PEGylated Phospholipid)
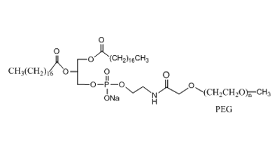
聚乙二醇-DSPE磷脂 自拼装PEG脂质体 mPEG-DSPE (PEGylated Phospholipid) 繁体中文明称:聚乙二醇-DSPE磷脂英语怎么说俗称:mPEG-DSPE日语中文名称:PEGylated PhospholipidCAS号:n/a; PEG: 25322-68-3; DSPE: 1069-79-0主链结构特征:二嵌段共聚物主耍营养成分:PEO/PEG亲疏水性聚氨酯:两亲性商品种型:自安装PEG衍生产品物荧光/出现发亮:无表面/姿态:固态硬盘粉尘或粉末(以合理表面是以)组成部分式:



pg电子娱乐游戏app
微信公众号
官方微信