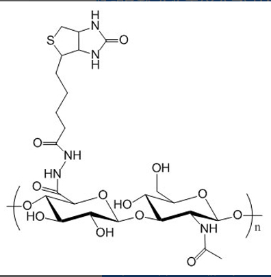
透明质酸-生物素(单分子) HA-Biotin(mono) | Mono-Biotin Labeled Hyaluronan (hyaluronic acid)
白色质酸-生物学素(单氧分子) HA-Biotin(mono) | Mono-Biotin Labeled Hyaluronan (hyaluronic acid) 2英文命名:透亮质酸-生物体素(单团伙)英文怎么说简写:HA-Biotin(mono)用英语总称:Mono-Biotin Labeled HyaluronanCAS号:HA: 9004-61-9主链型式:交叠共聚物通常组成成分:HA亲疏水性树脂:亲水商项目类别很多型:Biotin箭头好成绩子荧光/放光:无油漆颜色/价值形式:固定粉未或粉末(以合理油漆颜色时以)纯净度:> 95%格局式:



pg电子娱乐游戏app
微信公众号
官方微信