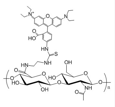
透明质酸-香豆素 荧光标记 HA-AMCA | Hyaluronate AMCA (labeled Hyaluronic Acid)
半透明质酸原液-香豆素 荧光标记图片 HA-AMCA | Hyaluronate AMCA (labeled Hyaluronic Acid) 2英文名称大全:半透质酸-香豆素英文翻译名字简称:HA-AMCA英文翻译全名是:Hyaluronate AMCACAS号:HA: 9004-61-9主链空间结构:跳变共聚物大部分组成:HA亲疏水:亲水护肤分类:荧光图标好成绩子荧光/发光字:AMCA外觀设计/姿态:固体粉末状原材料或颗料(以真正外觀设计算起)色度:> 95%设备构造式:



pg电子娱乐游戏app
微信公众号
官方微信