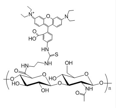
透明质酸-罗丹明 荧光标记 HA-Rhod | Hyaluronate Rhodamine (Rhodamine labeled Hyaluronic Acid)
全透明质酸酶-罗丹明 荧光标出 HA-Rhod | Hyaluronate Rhodamine (Rhodamine labeled Hyaluronic Acid) 中文字幕明称:半玻尿酸-罗丹明英语怎么说缩写英文:HA-Rhod日语简称:Hyaluronate RhodamineCAS号:HA: 9004-61-9主链的结构:更迭共聚物主要是组成:HA亲疏丙烯酸乳液:亲水物种类形:荧光标示涨分子结构荧光/发亮:Rhodamine外形/状态:nvme固态金属粉或颗粒状(以具体外形起算)饱和度:> 95%结构的式:



pg电子娱乐游戏app
微信公众号
官方微信