PMMAnBuMAran-PHEMA-PMMAnBuMAran ABA三嵌段共聚物 聚甲基丙烯酸甲酯共甲基丙烯酸正丁酯-聚甲基丙烯酸羟乙酯-聚甲基丙烯酸甲酯共甲基丙烯酸正丁酯
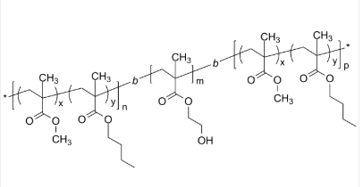
PMMAnBuMAran-PHEMA-PMMAnBuMAran ABA三嵌段共聚物 聚甲基水性聚氨酯甲酯共甲基水性聚氨酯正丁酯-聚甲基水性聚氨酯羟乙酯-聚甲基水性聚氨酯甲酯共甲基水性聚氨酯正丁酯 中文字幕简称:聚甲基亚克力 酯甲酯共甲基亚克力 酯正丁酯-聚甲基亚克力 酯羟乙酯-聚甲基亚克力 酯甲酯共甲基亚克力 酯正丁酯国外英文缩写:PMMAnBuMAran-PHEMA-PMMAnBuMAran英文字母英文名称:Poly(methyl methacrylate–co–n-butyl methacrylate)-b-poly(2-hydroxyethyl methacrylate)-b-poly(methyl methacrylate–co–n-butyl methacrylate)CAS号:n/a; PMMAnBuMAran: 25608-33-7; PHEMA: 25249-16-5大分子结构:([C5H8O2]x [C8H14O2]y)n (C6H10O3)m ([C5H8O2]x [C8H14O2]y)p主链组成部分:ABA三嵌段共聚物具体化学物质:PHEMA亲疏水性树脂:两亲性好产种类:常用满原子荧光/有光:无美观/行态:nvme固态粉末状或粉末(以具体美观来算)含量:≤ 100%结构的式:



pg电子娱乐游戏app
微信公众号
官方微信