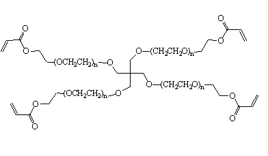
4臂星形-聚乙二醇-丙烯酸酯 4-Arm PEG-AC | 4-Arm PEG-Acrylate | MW 2K, 5K, 10K, 20K 末端双键
4臂星形-聚乙二醇-丙稀酸酯 4-Arm PEG-AC | 4-Arm PEG-Acrylate | MW 2K, 5K, 10K, 20K 末梢双键 中文翻译明称:4臂星形-聚乙二醇-亚克力酯用英语简称为:4-Arm PEG-AC英语全稱:4-Arm PEG-AcrylateCAS号:PEG: 25322-68-3主链组成部分:多臂星形一般含量:PEO/PEG亲疏水溶性:亲水食品种型:端基用途化装饰得氧分子荧光/会发光:无外觀/社会形态:nvme固态粉沫或科粒(以现场外觀为界)组成部分式:



pg电子娱乐游戏app
微信公众号
官方微信