4臂星形-聚乙二醇-丙烯酰胺 末端双键 4-Arm PEG-ACA | 4-Arm PEG-Acrylamide | MW 2K, 5K, 10K, 20K
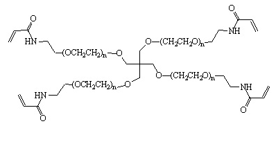
4臂星形-聚乙二醇-丙烯酰胺 末梢双键 4-Arm PEG-ACA | 4-Arm PEG-Acrylamide | MW 2K, 5K, 10K, 20K 2英文命名:4臂星形-聚乙二醇-丙烯酰胺用英语简称英文:4-Arm PEG-ACA英文怎么说被称为:4-Arm PEG-AcrylamideCAS号:PEG: 25322-68-3主链设计:多臂星形一般材质:PEO/PEG亲疏水性树脂:亲水厂品项型:端基功效化修饰语最高原子核荧光/发光字:无美观/形状:固定粉未或颗粒剂(以实际效果美观准确)结构特征式:



pg电子娱乐游戏app
微信公众号
官方微信