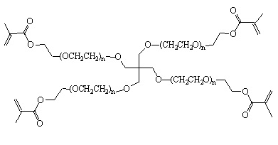
4臂星形-聚乙二醇-甲基丙烯酸酯 4-Arm PEG-MA | 4-Arm PEG-Methacrylate | MW 2K, 5K, 10K, 20K 末端双键
4臂星形-聚乙二醇-甲基亚克力 酯 4-Arm PEG-MA | 4-Arm PEG-Methacrylate | MW 2K, 5K, 10K, 20K 末梢双键 汉语称呼:4臂星形-聚乙二醇-甲基丙烯酸酯酯日文通称:4-Arm PEG-MA英文怎么说它的全称:4-Arm PEG-MethacrylateCAS号:PEG: 25322-68-3主链结构设计:多臂星形最主要的组分:PEO/PEG亲疏水性树脂:亲水设备分类:端基特点化表达提碳原子荧光/放光:无外光/基本特征:固态硬盘纳米银溶液或粒状(以实际的外光时以)空间结构简式:



pg电子娱乐游戏app
微信公众号
官方微信