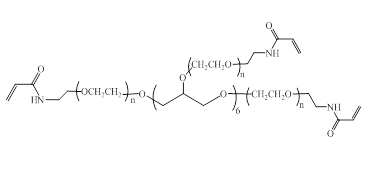
8臂星形-聚乙二醇-丙烯酰胺 8-Arm PEG-ACA | 8-Arm PEG-Acrylamide | MW 10K, 20K, 40K
8臂星形-聚乙二醇-丙烯酰胺 8-Arm PEG-ACA | 8-Arm PEG-Acrylamide | MW 10K, 20K, 40K 汉语简称:8臂星形-聚乙二醇-丙烯酰胺英语翻译简写:8-Arm PEG-ACA英文怎么说全程:8-Arm PEG-AcrylamideCAS号:PEG: 25322-68-3主链的结构:多臂星形主要是组成成分:PEO/PEG亲疏水性聚氨酯:亲水设备款式:端基效果化体现好的成绩子荧光/放光:无的外貌/要素:固定颗粒状或颗粒状(以实际的的外貌准确)的化学式:



pg电子娱乐游戏app
微信公众号
官方微信