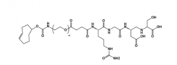
点击化学试剂TCO-PEG-RGD 反式环辛烯聚乙二醇线肽RGD的结构式
反式环辛烯(TCO)看做亲双烯体与S-四嗪(Tetrazine)在生理学必备条件下的症状有何需促使剂、症状速度快的缺点,被范围广应运于怪物和板材专业的研发中。
产品名称 TCO-PEG-RGD 反式环辛烯聚乙二醇线肽RGD
中文名称 线肽-聚乙二醇-反式环辛烯
英文名称 TCO-PEG-RGD
分子结构量:1k,2k,3.4k,5k,10k,20k(可按需个性)重量掌控:95%+辅料散落因子PDI:≤1.05内存标准:-20°C,阴凉,避湿用 途:只供科研开发实验设计操作,要用于医治外观专利: 固态或延展性液體,衡量于原子量主意事由:倒取很大要干热,防止不断的融解和冻干溶水性:易溶大个部分有机的萃取剂,如:DCM、DMF、DMSO、THF等一等。在水含有特好的溶水性
TCO-PEG-Dansyl 反式环辛烯-聚乙二醇-丹磺酰氯
TCO-PEG-NBD 反式环辛烯-聚乙二醇-胆固醇
TCO-PEG-Cyanur 反式环辛烯-聚乙二醇-氰尿酸
TCO-PEG-TRITC 反式环辛烯-聚乙二醇-四甲基罗丹明
TCO-PEG-6-FAM 反式环辛烯-聚乙二醇-6-羧甲基荧光素
TCO-PEG-FITC 反式环辛烯-聚乙二醇-异硫氰基荧光素
TCO-PEG-CY3 反式环辛烯-聚乙二醇-菁染料CY3
TCO-PEG-CY5 反式环辛烯-聚乙二醇-菁染料CY5
祥和的提示:要为拿到软件的动用效用,装修材料应一直以来都在缺水标准下维持温度,防范一直结冻和冻住。为切实保障软件的的稳定性比较处理性,请重视在温控缺水后来才会张开包装设计倒取!溫馨提示卡:仅使用于科学研究!!!厂家:杭州pg电子娱乐游戏app 海洋生物技术有局限厂家有局限厂家

pg电子娱乐游戏app
微信公众号
官方微信