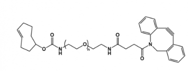
TCO-PEG-DBCO 反式环辛炔-聚乙二醇-二苯基环辛炔的存储条件
DBCO(二苯并环辛炔)都是种环炔烃,就能够实现在水饱和溶液中实现应对有助于的1,3-偶极环加的不良症状与叠氮化物不良症状,这款菌物正交不良症状也称之为无铜点不良症状。 该不良症状具备有选性和菌物混溶性,之所以相辅相成采血管就能够与工作菌物整体养成共价键。 无铜点不良症状总是是无促使现象剂菌物共轭的强有力专用工具。 DBCO采血管在水降低液中具备有更快的感召力和平稳性,可以使用于以高特情人和不良症状性标注叠氮化物遮盖的菌物氧分子。反式环辛烯(TCO)作亲双烯体与S-四嗪(Tetrazine)在生活的条件下的不良症状有否需促使现象剂、不良症状传输率快的优缺,被广泛性应用软件于菌物和用料地理学的钻研中。
产品名称 TCO-PEG-DBCO 反式环辛炔聚乙二醇二苯基环辛炔
中文名称 二苯基环辛炔-聚乙二醇-反式环辛烯
英文名称 TCO-PEG-DBCO
分子量 1000
存储条件 -20°冷冻,干燥保存
保存时间 一年
其它分子量 2000 3400 5000 10000

TCO-PEG-SPDP 反式环辛烯-聚乙二醇-3-(2-吡啶二硫代)丙酸N-羟基琥珀酰亚胺酯
TCO-PEG-DOTA 反式环辛烯-聚乙二醇-四氮杂环十二烷四乙酸
TCO-PEG-NOTA 反式环辛烯-聚乙二醇-大环配体NOTA
TCO-PEG-DTPA 反式环辛烯-聚乙二醇-二乙基三胺五乙酸
TCO-PEG-Tretinoin 反式环辛烯-聚乙二醇-维甲酸
TCO-PEG-Niacin 反式环辛烯-聚乙二醇-烟酸
TCO-PEG-Isothiocyanate/ITC 反式环辛烯-聚乙二醇-异硫氰酸盐
TCO-PEG-Isocyanate 反式环辛烯-聚乙二醇-异氰酸酯
产家:广州pg电子娱乐游戏app 动物科技有限企业企业有限企业企业会自动储存时光:1年时间内存放:冷冻冷藏溫馨短信提醒:仅限研究,不用以人实验报告

pg电子娱乐游戏app
微信公众号
官方微信