PEO-PMOXZ | PEG-PMOXZ 聚乙二醇-聚(2-甲基恶唑啉) 两亲性二嵌段共聚物 Poly(ethylene oxide)-b-poly(2-methyl oxazoline)
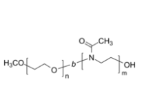
PEO-PMOXZ | PEG-PMOXZ 聚乙二醇-聚(2-甲基恶唑啉) 两亲性二嵌段共聚物 Poly(ethylene oxide)-b-poly(2-methyl oxazoline) 汉语标题:聚环氧树脂乙烷-聚(2-甲基恶唑啉)日语简称为:PEO-PMOXZ | PEG-PMOXZ英文音标全程:Poly(ethylene oxide)-b-poly(2-methyl oxazoline)CAS号:n/a; PEO: 25322-68-3原子核式:[C2H4O]n [C4H7NO]m主链结构设计:二嵌段共聚物核心含量:PMOXZ/PMEOXZ亲疏水溶性:两亲性产品的类别:链端羟基涨分子式荧光/发亮:无外装/要素:nvme固态金属粉或小粒(以实际效果外装应写)色度:≤ 100%构成式:



pg电子娱乐游戏app
微信公众号
官方微信