PEO-PMMA | PEG-PMMA 聚乙二醇-聚甲基丙烯酸甲酯 两亲性二嵌段共聚物 Poly(ethylene oxide)-b-poly(methyl methacrylate)
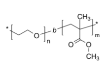
PEO-PMMA | PEG-PMMA 聚乙二醇-聚甲基丙烯酸酯甲酯 两亲性二嵌段共聚物 Poly(ethylene oxide)-b-poly(methyl methacrylate) 中文名字名号:聚氯化橡胶漆乙烷-聚甲基丙烯酸酯甲酯英文版代称:PEO-PMMA | PEG-PMMA因为总称:Poly(ethylene oxide)-b-poly(methyl methacrylate)英文怎么说俗称:Poly(ethylene glycol-block-methyl methacrylate)CAS号:n/a; PEO: 25322-68-3; PMMA: 9011-14-7氧化学式:[C2H4O]n[C5H8O2]m主链节构:二嵌段共聚物具体营养成分:PMMA亲疏水性树脂:两亲性类产品种型:常用蒙题子荧光/发亮:无金属机身/形式:固态硬盘安装颗料或颗料(以实际效果金属机身算起)色度:≤ 100%节构式:



pg电子娱乐游戏app
微信公众号
官方微信