P3HT-PMMA 聚(3-己基噻吩-2,5-二基)-聚甲基丙烯酸甲酯 导电二嵌段共聚物
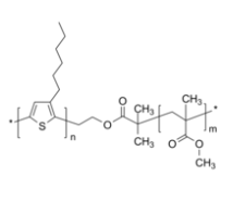
P3HT-PMMA 聚(3-己基噻吩-2,5-二基)-聚甲基亚克力 甲酯 导电二嵌段共聚物 英文版明称:聚(3-己基噻吩-2,5-二基)-聚甲基丙烯酸酯甲酯英文版缩写英文:P3HT-PMMA用英语它的全称:Poly(3-hexylthiophene-2,5-diyl)-b-poly(methyl methacrylate)CAS号:n/a; P3HT: 156074-98-5; PMMA: 9011-14-7原子核式:(C10H14S)n(C5H8O2)m主链组成部分:二嵌段共聚物具体物质:P3HT亲疏水溶性:疏水物料类:导电得分子结构荧光/会发光:无表面/要素:固定粉尘或颗粒肥料(以事实表面为界)含量:≤ 100%格局式:



pg电子娱乐游戏app
微信公众号
官方微信