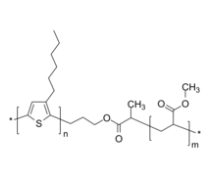
P3HT-PMA 聚(3-己基噻吩-2,5-二基)-聚丙烯酸甲酯 导电二嵌段共聚物 Poly(3-hexylthiophene-2,5-diyl)-b-poly(methacrylate)
P3HT-PMA 聚(3-己基噻吩-2,5-二基)-聚亚克力甲酯 导电二嵌段共聚物 Poly(3-hexylthiophene-2,5-diyl)-b-poly(methacrylate) 中文版名字大全:聚(3-己基噻吩-2,5-二基)-聚丙烯酸酯甲酯用英语也叫:P3HT-PMA英语全稱:Poly(3-hexylthiophene-2,5-diyl)-b-poly(methacrylate)CAS号:n/a; P3HT: 156074-98-5; PMA: 9003-21-8化学结构式式:(C10H14S)n(C4H6O2)m主链的结构:二嵌段共聚物其主要部分:P3HT亲疏水性树脂:疏水产品设备多种类型:导电夺原子荧光/发光字:无表面/体型:固定金属粉或粉末(以预期表面是以)纯净度:≤ 100%结构类型式:



pg电子娱乐游戏app
微信公众号
官方微信