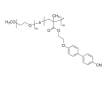
PEO-P4CNBPEMA | PEG-P4CNBPEMA 聚乙二醇-聚(2-[4'-氰基联苯-4-氧基]-甲基丙烯酸乙酯) 两亲性二嵌段共聚物
PEO-P4CNBPEMA | PEG-P4CNBPEMA 聚乙二醇-聚(2-[4'-氰基联苯-4-氧基]-甲基丙烯酸酯乙酯) 两亲性二嵌段共聚物 中文名字名号:聚改性环氧树脂乙烷-聚(2-[4'-氰基联苯-4-氧基]-甲基亚克力乙酯)英文怎么说俗称:PEO-P4CNBPEMA | PEG-P4CNBPEMA用英语全名:Poly(ethylene oxide)-b-poly(2-[4'-cyanobiphenyl-4-yloxy]-ethyl methacrylate)英语俗名:(PEO or PEG)-b-poly(2-[4-(4'-cyanophenyl)phenoxy]-ethyl methacrylate)CAS号:n/a; PEO: 25322-68-3大化学结构式:[C2H4O]n[C19H17NO3]m主链框架:二嵌段共聚物重点组成:P4CNBP亲疏水性聚氨酯:两亲性服务业务类型:烷基封端100大分子荧光/放光:无外型/特性:nvme固态粉未或粒子(以实际情况外型时以)饱和度:≤ 100%框架式:

![PEO-P4CNBPEMA | PEG-P4CNBPEMA 聚乙二醇-聚(2-[4'-氰基联苯-4-氧基]-甲基丙烯酸乙酯) 两亲性二嵌段共聚物-UDP糖丨MOF丨金属有机框架丨聚集诱导发光丨荧光标记推荐西安pg电子娱乐游戏app
生物](/images/logo.png)

pg电子娱乐游戏app
微信公众号
官方微信