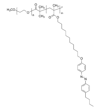
PEO-PAzoMA | PEG-PAzoMA 聚乙二醇-聚(11-[4-(4'-丁基苯基偶氮)苯氧基]-甲基丙烯酸十一酯) 两亲性二嵌段共聚物
PEO-PAzoMA | PEG-PAzoMA 聚乙二醇-聚(11-[4-(4'-丁基苯基偶氮)苯氧基]-甲基丙稀酸十一月酯) 两亲性二嵌段共聚物 中文翻译名字:聚(丙稀酸乙烷)-聚(11-[4-(4'-丁基苯基偶氮)苯氧基]-甲基丙烯酸酯五一酯)英文版缩写:PEO-PAzoMA | PEG-PAzoMA英文音标全程:Poly(ethylene oxide)-b-poly(11-[4-(4'-butylphenylazo)phenoxy]-undecyl methacrylate)用英文怎么说俗称:Poly(ethylene oxide–block–11-[4-(4'-butylphenylazo)phenoxy]undecyl methacrylate); Poly(ethylene glycol–block–11-[4-(4'-butylphenylazo)phenoxy]undecyl methacrylate)CAS号:n/a; PEO: 25322-68-3团伙式:[C2H4O]n[C31H44N2O3]m主链的结构:二嵌段共聚物最主要材料:PAzoMA亲疏水性树脂:两亲性物料类型、:烷基封端抓氧分子荧光/变色:无美观设计/底部形态:固体粉末状原材料或颗粒肥料(以真正美观设计应写)色度:≤ 100%型式式:

![PEO-PAzoMA | PEG-PAzoMA 聚乙二醇-聚(11-[4-(4'-丁基苯基偶氮)苯氧基]-甲基丙烯酸十一酯) 两亲性二嵌段共聚物-UDP糖丨MOF丨金属有机框架丨聚集诱导发光丨荧光标记推荐西安pg电子娱乐游戏app
生物](/images/logo.png)

pg电子娱乐游戏app
微信公众号
官方微信