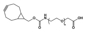
BCN-PEG-COOH 环丙烷环辛炔-聚乙二醇-羧基 点击化学PEG羧基
双环[6,1,0]壬炔 (BCN) (环丙烷环辛炔)会能够 无铜的点击量检查是否与叠氮化物记号的原子核结构或怪物原子核结构影响转为安全的三氮唑对接。
产品名称 BCN-PEG-COOH 环丙烷环辛炔聚乙二醇羧基
中文名称 环丙烷环辛炔聚乙二醇羧基
英文名称 BCN-PEG-COOH
分子量 2000
CAS N/A
溶解度 DMSO,CHCl3,甲醇
存储条件 -20°冷冻
保存时间 一年
其它分子量 1000 3400 5000 10000



pg电子娱乐游戏app
微信公众号
官方微信