PtBuMA-PMMA-PtBuMA 聚甲基丙烯酸叔丁酯-聚甲基丙烯酸甲酯-聚甲基丙烯酸叔丁酯 ABA三嵌段共聚物
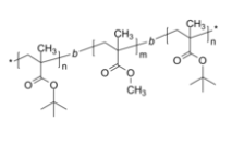
PtBuMA-PMMA-PtBuMA 聚甲基亚克力 叔丁酯-聚甲基亚克力 甲酯-聚甲基亚克力 叔丁酯 ABA三嵌段共聚物 中文翻译名字:聚甲基丙稀酸叔丁酯-聚甲基丙稀酸甲酯-聚甲基丙稀酸叔丁酯用英语简称英文:PtBuMA-PMMA-PtBuMA英文音标全名是:Poly(tert-butyl methacrylate)-b-poly(methyl methacrylate)-b-poly(tert-butyl methacrylate)日语学名:Poly(tert-butyl methacrylate-block-methyl methacrylate-block-tert-butyl methacrylate)CAS号:n/a; PtBuMA: 25189-00-8; PMMA: 9011-14-7原子式:[C8H14O2]n [C5H8O2]m [C8H14O2]n主链的结构:ABA三嵌段共聚物包括组成成分:PtBuMA亲疏水性树脂:疏水产品的内型:通常比较高的分数子荧光/会亮:无外装/体型:固态硬盘粉化或颗粒剂(以实际情况外装时以)色度:≤ 100%架构式:



pg电子娱乐游戏app
微信公众号
官方微信