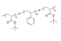
PtBuA-PS-PtBuA 聚丙烯酸叔丁酯-聚苯乙烯-聚丙烯酸叔丁酯 ABA三嵌段共聚物
简体中文英文名称:聚亚克力叔丁酯-聚苯乙稀-聚亚克力叔丁酯日语全称:PtBuA-PS-PtBuA日语全名:Poly(tert-butyl acrylate)-b-poly(styrene)-b-poly(tert-butyl acrylate)因为俗称:Poly(t-butyl acrylate-block-styrene-block-t-butyl acrylate)CAS号:n/a; PtBuA: 25232-27-3; PS: 9003-53-6氧化学式:[C7H12O2]n [C8H8]m [C7H12O2]m主链结构类型:ABA三嵌段共聚物常见成分表:PtBuA亲疏水溶性:疏水的产分型:常規拿高原子核荧光/亮光:无金属机身专利/特征:固态硬盘安装粉未或颗料(以合理金属机身专利时以)纯净度:≤ 100%构成式:

功能:研发牌子:pg电子娱乐游戏app
生物技术包装袋: 成瓶主产地:上海供给商:北京pg电子娱乐游戏app
动物科学不多厂家和睦显示信息:仅适用科学!浙江pg电子娱乐游戏app
微生物技术开发受限工司是中国大陆的满大分子缔合物合出服务项目商,我工司可不可以作为各个各不相同的缔合物的嵌段共聚物,有均聚物,嵌段共聚物,星形缔合物等,缔合物涉及有PEG、PLGA、PLA、PCL、PS、PLL,PtBA,PMMA,PAA,P4VP,P2VP,PNIPAAm,PEI、及某些基团亦或多肽缔合物,类型多,可作为订制开发服务项目。也作为鉴于这个共聚物装饰淀粉酶,多肽,酪氨酸,荧光装饰等订制开发合出。相关物品:PVDF-CCl3PVDF-BzClPVDFPVCH-PEOPVCH-PCLPVCH-P4VPPVCH-OHPVCHPVBP-PMMAPVBP-PAAPVBC-OHTPVBCPVBANa/PSCOONa