PtBuA-PMMA-PtBuA 聚丙烯酸叔丁酯-聚甲基丙烯酸甲酯-聚丙烯酸叔丁酯 ABA三嵌段共聚物
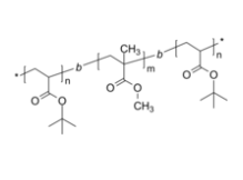
中文字幕名字:聚亚克力叔丁酯-聚甲基亚克力甲酯-聚亚克力叔丁酯英文版缩写英文:PtBuA-PMMA-PtBuA日语称怎么读:Poly(tert-butyl acrylate)-b-poly(methyl methacrylate)-b-poly(tert-butyl acrylate)英文音标俗名:Poly(tert-butyl acrylate-block-methyl methacrylate-block-tert-butyl acrylate)CAS号:n/a; PtBuA: 25232-27-3; PMMA: 9011-14-7团伙式:(C7H12O2)n (C5H8O2)m (C7H12O2)n主链设备构造:ABA三嵌段共聚物主耍含量:PtBuA亲疏水性树脂:疏水产品的形式:平时抓分子式荧光/放光:无外表设计/行态:固体粉尘或颗粒状(以实际的外表设计来算)纯净度:≤ 100%结构的式:

应用场景:科研课题加盟品牌:pg电子娱乐游戏app
海洋生物封装: 成瓶出产地:咸阳供货商:成都pg电子娱乐游戏app
微生物科学技术创新有限的公司的幸福提示卡:仅于科技研究!深圳pg电子娱乐游戏app
微生物技术限制品牌是我国国内的比较高的分数子缔合物自动合成图片生产厂,我品牌都可以给予各种各样的不同的的缔合物的嵌段共聚物,有均聚物,嵌段共聚物,星形缔合物等,缔合物包含有PEG、PLGA、PLA、PCL、PS、PLL,PtBA,PMMA,PAA,P4VP,P2VP,PNIPAAm,PEI、及及另外的基团还有多肽缔合物,类种多,可给予来样加工服务管理。也给予通过等共聚物绘制核蛋白,多肽,氨基酸等,荧光绘制等来样加工自动合成图片。想关货品:PVIMDZ-COOHPVIMDZPVDFTFEran-PSPVDFTFEran-PAAPVDFTFEran-P4VPPVDFTFEran-P2VPPVDFTFEran-CCl3PVDFTFEran-b-PtBuAPVDF-PtBuAPVDF-PSPVDF-PMMAPVDF-P2VPPVDF-OH