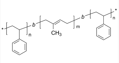
PS-PIP(1,4)-PS 聚苯乙烯-聚(1,4-异戊二烯)-聚苯乙烯 ABA三嵌段共聚物 Poly(styrene)-b-poly(1,4-isoprene)-b-poly(styrene)
PS-PIP(1,4)-PS 聚苯丁二烯-聚(1,4-异戊二烯)-聚苯丁二烯 ABA三嵌段共聚物 Poly(styrene)-b-poly(1,4-isoprene)-b-poly(styrene) 中文字幕名字:聚苯氯氯乙烯-聚(1,4-异戊二烯)-聚苯氯氯乙烯国外英文全称:PS-PIP(1,4)-PS日语中文名称:Poly(styrene)-b-poly(1,4-isoprene)-b-poly(styrene)CAS号:n/a; PS: 9003-53-6; PIP-PS: 25038-32-8分子结构式:[C8H8]n [C5H8]m [C8H8]n主链形式:ABA三嵌段共聚物核心因素:PS亲疏水性树脂:疏水车辆形式:通常抓氧分子荧光/会发光:无油漆颜色/特征:固体碎末或颗粒肥料(以真实油漆颜色起算)溶解度:≤ 100%格局式:



pg电子娱乐游戏app
微信公众号
官方微信