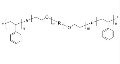
PS-PEO-PS 聚苯乙烯-聚环氧乙烷-聚苯乙烯 ABA三嵌段共聚物 Poly(styrene)-b-poly(ethylene oxide)-b-poly(styrene)
PS-PEO-PS 聚苯乙稀-聚氯化橡胶漆乙烷-聚苯乙稀 ABA三嵌段共聚物 Poly(styrene)-b-poly(ethylene oxide)-b-poly(styrene) 汉语英文名称:聚苯丁二烯-聚氯化橡胶漆乙烷-聚苯丁二烯用英文怎么说缩写:PS-PEO-PS / PS-PEG-PS英语它的全称:Poly(styrene)-b-poly(ethylene oxide)-b-poly(styrene)日语别号:Poly(styrene-block-ethylene oxide-block-styrene)CAS号:n/a; PS: 9003-53-6; PEO: 25322-68-3化学式式:(C8H8)n (C2H4O)m (C8H8)p主链空间结构:ABA三嵌段共聚物重点材料:PS亲疏水性树脂:两亲性物品种型:普通低大分子荧光/变色:无表面/行态:固体粉沫或颗粒剂(以预期表面为标准)色度:≤ 100%设备构造式:



pg电子娱乐游戏app
微信公众号
官方微信