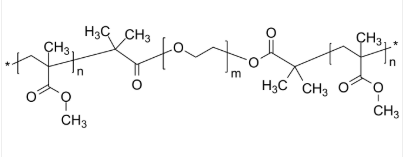
PMMA-PEO-PMMA 聚甲基丙烯酸甲酯-聚环氧乙烷-聚甲基丙烯酸甲酯 ABA三嵌段共聚物
PMMA-PEO-PMMA 聚甲基亚克力 甲酯-聚固化剂乙烷-聚甲基亚克力 甲酯 ABA三嵌段共聚物 中文版命名:聚甲基水性聚氨酯甲酯-聚氯化橡胶漆乙烷-聚甲基水性聚氨酯甲酯因为缩写英文:PMMA-PEO-PMMA英文音标全稱:Poly(methyl methacrylate)-b-Poly(ethylene oxide)-b-Poly(methyl methacrylate)英语別称:Poly(methyl methacrylate-block-ethylene oxide-block-methyl methacrylate)CAS号:n/a; PMMA: 9011-14-7; PEO: 25322-68-3化学式式:[C5H8O2]n [C2H4O]m [C5H8O2]n主链框架:ABA三嵌段共聚物一般部分:PMMA亲疏丙烯酸乳液:两亲性企业产品种型:平时夺原子荧光/会亮:无表面/基本特征:固体咖啡豆或粒状(以实际效果表面为基准)溶解度:≤ 100%空间化学式:



pg电子娱乐游戏app
微信公众号
官方微信