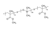
PMMA-PDMS-PMMA 聚甲基丙烯酸甲酯-聚二甲基硅氧烷-聚甲基丙烯酸甲酯 ABA三嵌段共聚物
PMMA-PDMS-PMMA 聚甲基亚克力 甲酯-聚二甲基硅氧烷-聚甲基亚克力 甲酯 ABA三嵌段共聚物 中文字幕名字大全:聚甲基亚克力甲酯-聚二甲基硅氧烷-聚甲基亚克力甲酯英语怎么说全称:PMMA-PDMS-PMMA英文翻译它的全称:Poly(methyl methacrylate)-b-Poly(dimethylsiloxane)-b-Poly(methyl methacrylate)英语怎么说学名:Poly(methyl methacrylate-block-dimethylsiloxane-block-methyl methacrylate)CAS号:n/a; PMMA: 9011-14-7; PDMS: 9016-00-6/63148-62-9大分子结构:[C5H8O2]n [Si(CH3)2O]m [C5H8O2]n主链结构设计:ABA三嵌段共聚物主耍有效成分:PMMA亲疏水性聚氨酯:疏水软件类行:传统夺团伙荧光/会发光:无美观/价值形式:固体颗粒肥料或颗粒肥料(以实计美观准确)纯净度:≤ 100%形式式:



pg电子娱乐游戏app
微信公众号
官方微信