PMMA-PDHF-PMMA 聚甲基丙烯酸甲酯-聚(9,9-N-二己基-2,7-芴)-聚甲基丙烯酸甲酯 导电ABA三嵌段共聚物
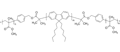
PMMA-PDHF-PMMA 聚甲基丙稀酸甲酯-聚(9,9-N-二己基-2,7-芴)-聚甲基丙稀酸甲酯 导电ABA三嵌段共聚物 常常名字:聚甲基水性聚氨酯甲酯-聚(9,9-N-二己基-2,7-芴)-聚甲基水性聚氨酯甲酯用英语名字简称:PMMA-PDHF-PMMA用英文怎么说简称:Poly(methyl methacrylate)-b-Poly(9,9-n-dihexyl-2,7-fluorene)-b-Poly(methyl methacrylate)英文版又名:Poly(methyl methacrylate-block-9,9-di-n-hexyl-2,7-fluorene-block-methyl methacrylate)CAS号:n/a; PMMA: 9011-14-7; PDHF: 201807-75-2大化学式:[C5H8O2]n [C25H32]m [C5H8O2]p主链组成:ABA三嵌段共聚物通常成分表:PDHF亲疏水:疏水设备类型的:导电低分子式荧光/发亮:无外光/形态特征:固态硬盘粉状或粒状(以实践外光是以)色度:≤ 100%设备构造式:



pg电子娱乐游戏app
微信公众号
官方微信